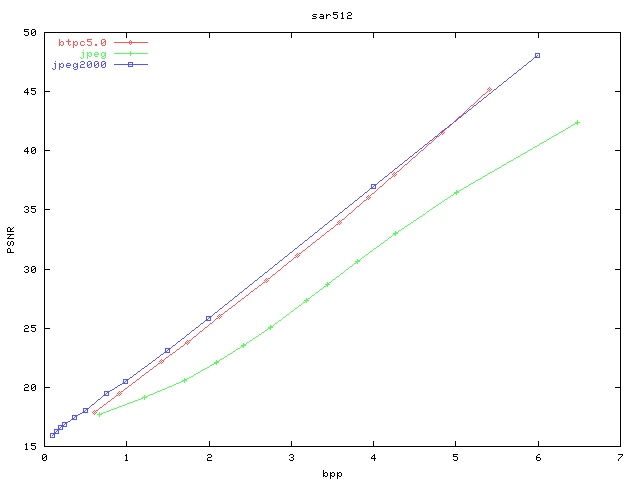
Results for sar512 512 x 512

Thumbnail

Lossless coding

BTPC 5: 7.63 bpp

PNG: 7.71 bpp

JPEG-LS 7.48 bpp

Lossy coding

PSNR/bpp graph