Results for boat64.ppm 64 x 64

Thumbnail

Lossless coding

BTPC 5: 21.82 bpp

PNG: Failed bpp

JPEG-LS 20.54 bpp

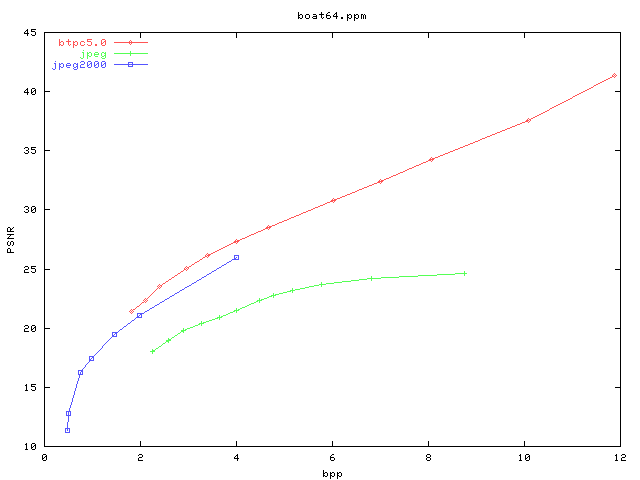
Lossy coding

PSNR/bpp graph